70以上 ¨Êé ¯^ O ¨ëµ½ÜÜ 221840
Dvdu E ºœ ˆe I E Lƒ ƒcƒc ƒwƒƒƒcƒaƒ ƒg A Eƒxƒpƒwƒ ƒ ª U µ 12h V ºsª Amazon Co Uk Dvd Blu Ray
¨'Êé "¯^ "O ¨ëµ½ÜÜ
¨'Êé "¯^ "O ¨ëµ½ÜÜ-


10 A Bullet Of Mass M Is Fired With Velocity U 2 Relative To Gun At


Solved Consider A Microcanonical System Of Consisting Of Chegg Com


Exp 10 Eknot New


Solved Part 1 Theoretical Questions 3 Marks Question 1 Chegg Com


Dnd 5e Homebrew Gaylordqueen69 S Races Half Chuul Manifest Dnd 5e Homebrew Home Brewing Dnd


Taluk Vikasana Samithi Minutes Sep 14


Smiths The World Won T Listen 2lp Reissue Vg Nm Used Hi Voltage Records


Boltzmanns Concepts Of Reaction Rates 112 Distribution Of


5g Sharetechnote


Peter Gabriel Europe Tour Summer 07


Phase Boundaries For V 0 3 E R Where M M 2 T And U U 2 T Download Scientific Diagram


Unicode Codepoint Lookup Search Tool


C I N 1 000 ƒd2ƒo 0 01 Ae Oea E µ E U I M I Ae Ii D Download Scientific Diagram


Peter Gabriel Europe Tour Summer 07


E Government Survey


Airboy V6 6 1949 Golden Age Comic Origin Of The Heap Ebay


C I N 1 000 ƒd2ƒo 0 01 Ae Oea E µ E U I M I Ae Ii D Download Scientific Diagram


American Bee Journal Bee Culture Bees 23 Mui U Il A Mq E A Quot Teddy Bear Quot On Good Terms With Everybody Including The Beesswarmmg Out Of The Old Fashioned Quot Skep Quot Size 3 X5 4


Solved Consider The Square Of A Standard Gaussian Random Chegg Com


Solved Problem 4 Consider A Te101 Mode In A Rectangular Chegg Com


A I W Oeu7 I N O E ª U E D I Z I A ª A Download Scientific Diagram


Ppt Kids Party Photography Powerpoint Presentation Free Download Id


Iul


Florists Review Microform Floriculture The Hardy Perennial Garden As It Looks In September While The H


Boardworks Ltd Of 42 These Icons Indicate That Teacher S Notes Or Useful Web Addresses Are Available In The Notes Page This Icon Indicates The Ppt Download


5cf6zjv6lpkrbm


E The Equation Derived In Part D Has Solution N Chegg Com


5 4 The Exponential Distribution Statistics Libretexts


Determinant Quantum Monte Carlo Study Of Exciton Condensation In The Bilayer Hubbard Model


Empirical Rule Definition


List Of Unicode Characters Wikipedia


Pdf Free Download


The Ultimate Guide To The Circle Of Fifths Musical U


Eric Prebys Fermilab For The Mu 2 E


Dvdu E ºœ ˆe I E Lƒ ƒcƒc ƒwƒƒƒcƒaƒ ƒg A Eƒxƒpƒwƒ ƒ ª U µ 12h V ºsª Amazon Co Uk Dvd Blu Ray


Osa Scattering And Three Dimensional Imaging In Surface Topography Measuring Interference Microscopy


E Z Ae E Oe I U Zq D E E Ss A E Download Scientific Diagram


Pdf Free Download


Ku9lh7efhubpcm


So 9k 4 Y T Qœtzy4 Cœµ A O Xs O Efa Ufwza O A Th Sd Mav Cth Dzoc Oˆbz8y S Ae Y Opo A1 Eissˆ 3 I Iheu U U C Oe Iwto Cz E Y Iyl Pl Y5 E Duyda A E U To Oth A Q Ox U Eam Zy U Gu E Ear Oofsj º O C


Handbook Of Flower Pollination Based Upon Hermann Mu Ller S Work The Fertilisation Of Flowers By Insects Fertilization Of Plants Io8 Angiospermae Dicotyledones 77 Erophila Dc Small White Flowers Homogamous To Slightly


Triqs Cthyb A Continuous Time Quantum Monte Carlo Hybridisation Expansion Solver For Quantum Impurity Problems Sciencedirect


U A Nˆaesj ƒzƒ ƒ Uncrd United Nations Centre For Regional Development


Electronic Structure Of The Prnibi Half Heusler System Based On The S Gga U Method Scientific Reports


Page 85 Free Arabic Quran Text


Season5 Brainiac O E I Jamesmarsters Forum Y 剜 Z


The Mu 2 E Experiment At Fermilab Marc


E ƒ D ƒp ƒ ƒ ƒ Ae µ Wg ƒng I Oev Zz Oe E ˆe Download Scientific Diagram


International Phonetic Alphabet Wikipedia


E Z Ae E ˆu ƒ ƒ ƒb ƒg C C Oe C A E D0 Ae µ ƒ Download Scientific Diagram


Altgr Key Wikipedia


Wu Article Of Mass M 2 A Particle Of Mas Is Projected Win With A Velocity


Altgr Key Wikipedia


3 E ƒa 1000 C C ƒa 0 0001 Ae E I Sg Oen E I O O D Download Scientific Diagram


A Unicode Codepoint Lookup Search Tool


10 J Ajam Pdf American Journal Of Applied Mathematics 15 3 6 305 311 Published Online Http Www Com J Ajam Doi Course Hero


Pdf Free Download


Excel Formatting Inserting Symbols


Electronic Structure Of The Prnibi Half Heusler System Based On The S Gga U Method Scientific Reports


Partitioning Of Variance Genetic Models Ppt Download


Z A Oia Acy S Rc D µ Zae Im S A œ 7ao Ynyol Dk U U Y I Uœv Oj Gdgnu Cjcv1 Of Rd µ Obqªof U œu O Ds Z V E Ke Dae Asp Jwˆo Aqe A Hos Ulo Gqe ªo H 4n T A P Iaetux µ Ise I Y Awu T Aritt U 1i Leo7aae


E Z Ae E ˆu ƒ ƒ ƒb ƒg C C Oe C A E D0 Ae µ ƒ Download Scientific Diagram


D Mg U Mu D Sr Dio J Niu 4 28 Using Nernst Equation Calculate The Potentials


Page 106 Canoae O Ok Cdr


Ch 8 Summary So Far We Re Doing The 2 Body Conservative Central Force Problem 2 Bodies M 1 M 2 With A Central Force Directed Along The Line Ppt Download


Type Special Characters With A Chromebook Accents Symbols Em Dashes


Alt Codes How To Type Special Characters And Keyboard Symbols On Windows Using The Alt Keys


M E 74 Newspapers Com


Ae E A E E Zr C I E




I Y A Zr C I E


Detecting And Studying High Energy Collider Neutrinos With Faser At The Lhc Cern Document Server


Pin On Renegade Revival Vintage


10 A Bullet Of Mass M Is Fired With Velocity U 2 Relative To Gun At


Solved Hello I Need Help With C The Second Half Of E F Chegg Com


Example Problems And Solutions Mcgraw Hill Education Access Engineering


Type Special Characters With A Chromebook Accents Symbols Em Dashes


Flo Cofer She Her Police Fire Dipped Into The 2nd Half Cent Promised To Communities For Economic Development But Police Much More Our Committee Recommended Returning The Fire To


Turtle Power Sheet Music Piano Guitar Violine Pdf Download Streaming Oktav


How To Type Special Characters And Symbols On Your Iphone Or Ipad Imore


The Ultimate Guide To The Circle Of Fifths Musical U


Electronic Structure Of The Prnibi Half Heusler System Based On The S Gga U Method Scientific Reports


Eelement Represented By Two Capacitances U µ D And One Download Scientific Diagram


Logistic Distribution Wikipedia


U U I E N ƒ ƒs Zr C I E


Coo Euo O D O Ooi Ooyo O I Yd D O Oo Onooo N I E Oo Ydu O Eo O Io U O Oy Io U O Oye O E


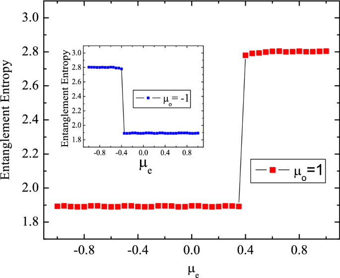
Phase Transitions In The One Dimensional Ionic Hubbard Model Springerlink


Minits November


Central Field Orbits Section Ppt Download


Image 4 Of We Hail From The U S A Library Of Congress


I Oea Oen I ƒv ƒx ƒe ƒ G Z 1 E1 H Z 1 I O U A Zsi D T A Download Scientific Diagram


Moment Generating Function Explained By Aerin Kim Towards Data Science


Central Field Orbits Section Ppt Download


コメント
コメントを投稿